Elif Python Meaning - If Elif And Else Keywords In Python Tutorial Australia / The code is in python 2.7, but the dictionary stuff and the partial application stuff is all in python 3.

Elif Python Meaning - If Elif And Else Keywords In Python Tutorial Australia / The code is in python 2.7, but the dictionary stuff and the partial application stuff is all in python 3.. Python if statement syntax if test expression: It will also not goto to the else condition in this case. šŸ”„subscribe for more videos like this: Similar syntax is used for function definitions, switch statements, for loops, while loops, etc. The syntax to use if.elif.else statement would be:

So, the block below the if statement is not executed. It's just that c# doesn't care about whitespace as much as python, so it's valid to write out else if on one line. The restaurant offers eggs, pancakes, waffles, and oatmeal for breakfast. However, unlike else, for which there can be at most one statement, there can be an arbitrary number of elif statements following an if. Creating a menu selection requires something …

What S An Elif In Python Answered With Vids And Gifs Penjee Learn To Code
What S An Elif In Python Answered With Vids And Gifs Penjee Learn To Code from i.ytimg.com
Learn how to use if elif else statements in python to control the flow of your programs. However, the expression next to if can also evaluate to a value different from the boolean. Your python application may get to the point where you need to use the elif clause. The restaurant offers eggs, pancakes, waffles, and oatmeal for breakfast. After you choose one of the items, the server brings it to you. The python elif statement also called as the python else if statement is very useful when we have to check several conditions. ) the colon (:) at the end of the if line is required. If the processing logic requires so, the sequential flow can be altered in two ways:

Suppose that you want to determine whether a person is eligible for a senior discount.

The if statement alone tells us that if a condition is true it will execute a block of statements and if the condition is false it won't. In theory, you can add an arbitrary number of elif branches by nesting more and more ternary operators: The last elif and the else statements are different, basically. The elif statement allows you to check multiple expressions for true and execute a block of code as soon as one of the conditions evaluates to true. Python relies on indentation (whitespace at the beginning of a line) to define scope in the code. You can use following conditional statements in your code to do this. However, unlike else, for which there can be at most one statement, there can be an arbitrary number of elif statements following an if. It's just that c# doesn't care about whitespace as much as python, so it's valid to write out else if on one line. The code is in python 2.7, but the dictionary stuff and the partial application stuff is all in python 3. All these problems can easily be solved using elif python statement. Learn how to use if elif else statements in python to control the flow of your programs. So, the block below the if statement is not executed. You go to a restaurant and look at the menu.

The restaurant offers eggs, pancakes, waffles, and oatmeal for breakfast. Similar to the else, the elif statement is optional. Creating a menu selection requires something … answered with vids and gifs posted in computer science, python in short, an elif means else if. Suppose that you want to determine whether a person is eligible for a senior discount.

Conditional Flow In Python With If Elif Else Statements Learn Python
Conditional Flow In Python With If Elif Else Statements Learn Python from www.cspsprotocol.com
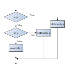
It is possible that we have more than 2 conditions, in such case we can use if.elif.else condition. How can i better structure this function, because it currently looks horrific? Your python application may get to the point where you need to use the elif clause. Python uses the if keyword to implement decision control. It can be used after if statement in case you have one more comparison to made and one more and one more and so on. It means to have more conditions, not just a single else block. The elif allows us to tie multiple if statements together as we might have intended to before with multiple if statemen. As for why it's called elif instead of elseif, elsif, or anything else, i have no idea.

It is a multiple alternative conditional controlled decision structure.

After you choose one of the items, the server brings it to you. Your python application may get to the point where you need to use the elif clause. How can i better structure this function, because it currently looks horrific? Statements are instructions to follow if the condition is true. The elif statement the elif statement allows you to check multiple expressions for true and execute a block of code as soon as one of the conditions evaluates to true. The elif allows us to tie multiple if statements together as we might have intended to before with multiple if statemen. Python uses the if keyword to implement decision control. If you've used other programming languages, you're probalby used to writing else if or elseif, but python contracts that to the single word elif. The restaurant offers eggs, pancakes, waffles, and oatmeal for breakfast. The elif statement allows you to check multiple expressions for true and execute a block of code as soon as one of the conditions evaluates to true. Apart from this python elif, we can also use the nested if to achieve the same. As for why it's called elif instead of elseif, elsif, or anything else, i have no idea. In theory, you can add an arbitrary number of elif branches by nesting more and more ternary operators:

In the previous example, you've seen how a nested ternary operator semantically adds an elif branch. Python if statement syntax if test expression: Similar syntax is used for function definitions, switch statements, for loops, while loops, etc. Apart from this python elif, we can also use the nested if to achieve the same. After you choose one of the items, the server brings it to you.

4 Conditionals And Loops Beginning Python Programming For Aspiring Web Developers
4 Conditionals And Loops Beginning Python Programming For Aspiring Web Developers from www.openbookproject.net
If you have multiple elif then you can utilize dictionary data type in python. šŸ”„subscribe for more videos like this: Creating a menu selection requires something … Use it to execute a block of code, if a specified condition is true Elif condition gets checked if the condition in if statement is false. The syntax to use if.elif.else statement would be: Statement (s) here, the program evaluates the test expression and will execute statement (s) only if the test expression is true. So, the block below the if statement is not executed.

Elif is used to make another condition.

In theory, you can add an arbitrary number of elif branches by nesting more and more ternary operators: It's just that c# doesn't care about whitespace as much as python, so it's valid to write out else if on one line. However, as the number of conditions increase, nested if code complexity will also increase. The elif allows us to tie multiple if statements together as we might have intended to before with multiple if statemen. ) the colon (:) at the end of the if line is required. The last elif and the else statements are different, basically. The if…elif…else statement is used in python for decision making. It will also not goto to the else condition in this case. If the processing logic requires so, the sequential flow can be altered in two ways: If you've used other programming languages, you're probalby used to writing else if or elseif, but python contracts that to the single word elif. Elif condition gets checked if the condition in if statement is false. You can use following conditional statements in your code to do this. šŸ”„subscribe for more videos like this:

When you run into a situation where you have several conditions, you can place as many elif conditions as necessary between the if condition and the else condition elif python. I am not in if as the condition present in the if statement is false.

Comments